Финансы и экономика » Финансовое состояние предприятия и пути его улучшения » Анализ имущественного состояния предприятия

Анализ имущественного состояния предприятия

Страница 4

,

Где – коэффициент финансового левериджа,

– доля заемного капитала в общей сумме активов,

– доля основного капитала в общей сумме активов,

– доля оборотного капитала в основном капитале,

– доля собственного оборотного капитала в оборотных активах,

– доля оборотного капитала в собственном капитале (коэффициент маневренности собственного капитала).

Сумма основного капитала рассчитывается по формуле:

,

где ДО – долгосрочные обязательства.

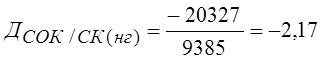
Проанализируем изменение значения коэффициента финансового левериджа ООО "ЯПД" за 2009 год. Определим значение и изменение коэффициента финансового левериджа за год.

.

.

Изменение за год:

или -10,7%.

Рассчитаем значения факторов определяющих величину коэффициента финансового левериджа. Определим долю заемного капитала в общей сумме активов (1 фактор):

.

.

Определим долю основного капитала в общей сумме активов (2 фактор).

.

.

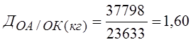
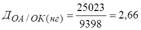
Определим, сколько оборотного капитала приходится на рубль основного капитала (3 фактор).

.

.

Определим долю собственного оборотного капитала в оборотных активах (4 фактор).

.

.

Определим долю собственного оборотного капитала в собственном капитале (5 фактор).

.

.

Для анализа влияния данных факторов на изменение коэффициента финансового левериджа используем метод цепной подстановки.

.

.

.

.

.

.

Изменение за счет 1 фактора:

.

Страницы: 1 2 3 4 5

Это интересно:

Роль и задачи Казначейства в реализации функции распорядителя государственных средств
Казначейство – это финансовый орган, на который ложатся функции по кассовому исполнению государственного бюджета Украины. Действующая схема исполнения государственного бюджета не обеспечивала системного контроля как за прохождением государственных ресурсов через коммерческие банки, так и за использ ...

Оперативный учет и контроль издержек по центрам финансовой ответственности
В целях недопущения перерасхода лимитов, утверждённых приказом № 1 по предприятию, и оперативного контроля над расходами в Азнакаевском УПНП и КРС внедряется следующая схема работы: Оперативный учет и контроль по центрам финансовой ответственности «ЦФО» (отдел или служба, курирующая статьи расходов ...

Контроль за уплатой страховых взносов
Согласно ст. 25 Федерального закона от 15 декабря 2001 г. № 167-ФЗ «Об обязательном пенсионном страховании в Российской Федерации» функции контроля за исчислением и уплатой страховых взносов, а также взыскания недоимки и пени поделены между налоговыми органами и Пенсионным фондом РФ. Так, контроль ...

Главные категории

Copyright © 2025 - All Rights Reserved - www.financeworth.ru